在填志愿这个阶段,有很多同学会问
“我的分数能填什么学校?”
小编根据各统考专业排位高低整合了
17门统考专业对应的院校排行
17门统考专业招生总计划
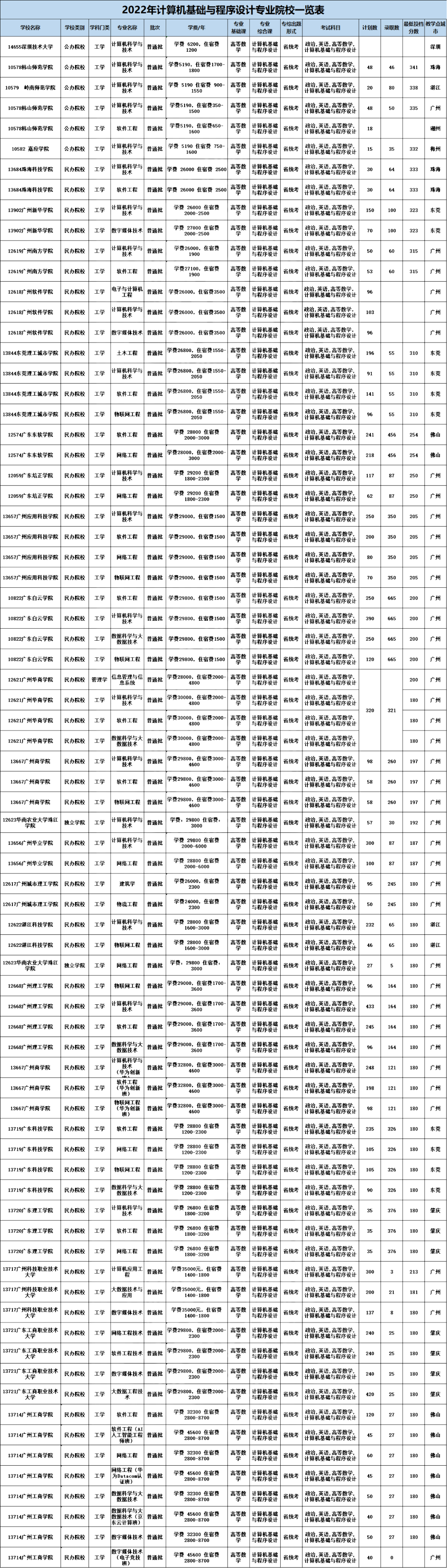
以下表格的院校排行是按照各统考专业分数高低数据整合而成!大家可根据分数排位与计划数自行划分10个志愿!建议两冲五稳三保底的规则填报!

1.基础会计学 (点击可查看大图) 2.汉语言文学学科基础 (点击可查看大图) 3.英语基础与写作 (点击可查看大图) 4.计算机基础与程序设计 (点击可查看大图) 5.国际贸易理论与实务 6.电子商务概论 7.电子技术基础 (点击可查看大图) 8.金融学 (点击可查看大图) 9.机械工程基础 10.法理学 11.人力资源管理 12.设计基础 (点击可查看大图) 13.行政管理学












(点击可查看大图)
14.市场营销学 点击可查看大图 15.学前教育基础 16.数学专业综合 17.遗传学



(点击可查看大图)
以上就是22年插本17门统考专业
对应的院校排行数据~
大家填报志愿时可参考!